固体氧化物燃料电池(SOFC)等电解质在能量转换的电化学装置中起着关键作用。开发新型离子导电电解质是一个具有挑战性的工作,低温(300-600 0C)SOFC目前仍然难以实现。由于常用的电解质需要高温度条件,SOFC 存在高成本和技术复杂性的限制。为了满足不断增长的能源需求,全球都在努力开发高离子导电氧化物,以解决 SOFC 的高温瓶颈。
Sajid Rauf 博士和田宜彬教授团队首次引入了介电钙钛矿 (CCTO) 作为燃料电池中的电解质,特别是用于调谐为高离子电解质的 n-p 半导体异质结构,成功实现低温SOFC。利用高电子(空穴)导电半导体(NCAL)构建 P-N 异质结构 CCTO-NCAL 将电子导电电介质 CCTO 调谐为离子导体。CCTO-NCAL 的异质结构通过图1中描述的密度泛函理论进行计算。

Fig. 1. Optimal and relaxed crystal structures of CCTO and NCAL. c, d Top and side view of the CCTO–NCAL heterostructure crystal structures and e, f calculated values of energy vs volume of CCTO and NCAL via Murnaghan method.
之后,CCTO-NCAL 的模拟晶体结构通过实验描述,如图2所示。

Fig. 2. X-ray diffraction patterns of NCAL, CCTO, and their heterostructure CCTO–NCAL. b X-ray diffraction patterns of CCTO–NCAL heterostructure before and after testing in fuel cell operation
此外,他们通过高分辨率透射电子显微镜和场发射电子显微镜对微观结构和表面形貌进行了表征,如图3所示。

Fig. 3. a-f High-resolution transmission electron microscope images representing the microstructure included the calculated lattice spacing and particle distribution with hetero-interfaces at the particles-level of CCTO, NCAL, and CCTO–NCAL heterostructure. g–i Field emission-scanning electron microscopy images depicting: the surface morphology and particles distribution of the CCTO, NCAL, and CCTO–NCAL heterostructure.
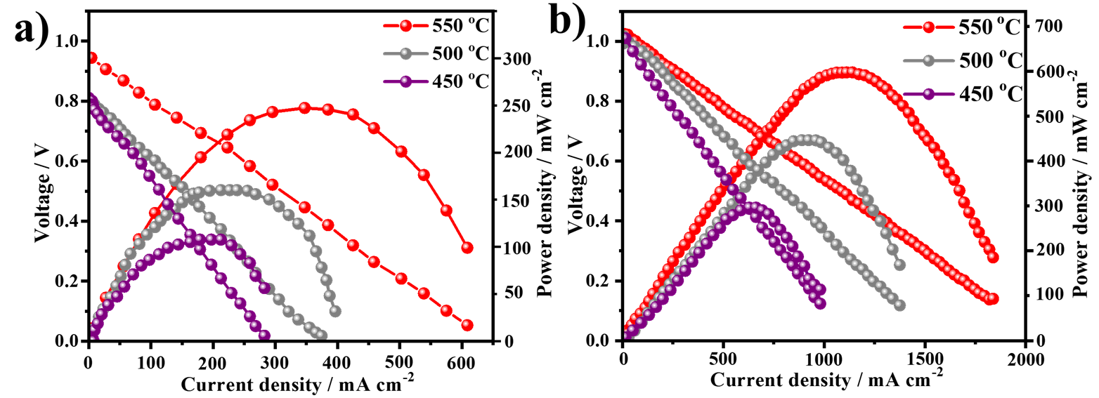
他们成功实现了0.15 S cm-1的离子电导率和在550 0C下605 mW cm-2 的燃料电池功率输出。CCTO-NCAL 异质结构的形成导致离子电导率增强,同时抑制了电子电导率,如图4所示。第一性原理计算证明了所提出的异质结构形成策略的有效性,该策略对电子和结构特性有重大影响。用半导体形成异质结构的方法为为先进的 LT-SOFC 和其他相关领域开发功能电解质提供了新的思路。

Fig. 4. Fuel cell performance in terms of current density and voltage (I-V) and current density and power density (I–P) of the a CCTO and b CCTO–NCAL heterostructure electrolyte cells in the H2/air environments at operational temperature of 550–450 °C.
在异质结构材料界面处探索能带工程代表了一种有趣的机制。在此背景下,采用紫外-可见光谱和 UPS 来获得各自的价带最大值和能量带隙,以确定和证明能带对准。结果值如图5所示。 这项工作中提出的结果遵循能带理论,其中能带理论与半导体氧化物材料密切相关。

Fig. 5. a UV–Vis spectra of CCTO, complete spectrum and energy optical gap. b UPS spectra cutoff energy region, and onset energy region of CCTO, NCAL, and CCTO–NCAL. c Energy band diagram of fuel cell CCTO–NCAL heterostructure obtained according to UPS results and energy band gap.
麻豆成人
副研究员Sajid Rauf为本文第一作者,麻豆成人
田宜彬教授、俄罗斯乌拉尔联邦大学Dmitry Medvedev教授和东南大学朱斌教授为共同通讯作者。
Nano-Micro Letters是由Springer和上海交通大学共同出版的交叉学科顶级期刊,2023年的影响因子(IF)为31.6,在WOS的JCI排名中,应用物理3/179,纳米技术2/140,多学科材料科学6/438,均位列相关方向期刊百分位的1.5%。
论文链接 //rdcu.be/dVe9A
撰写:田宜彬
排版:郑泽庭
一审一校:田宜彬
二审二校:马将
三审三校:郑纯